There isn't a single business I know of that doesn't consider cash-flow on a daily basis.
As you might guess, nothing is free, and you'll end up trading points depending on how rapidly you want to be paid.
Between July 2019 and July 2021, the total wagered online at PA casinos was $40 billion – more than three-quarters of that in the second year.
Taxes on gambling winnings
accommodation near crown casino There usually no fees associated with these transfers with the exception of the following banks RCBC and BPI which charges a small fee of Php.
Using GCash is one of the best methods to make a deposit for sports betting.
1月21日12时,《张朝阳的物理课》第198期开播,搜狐创始人、董事局主席兼首席执行官、物理学博士张朝阳坐镇搜狐视频直播间,首先进行了椭圆轨道的推导,然后介绍了开普勒的三大运动定律。
接着,张朝阳详细地证明了开普勒第三定律。接下来,在介绍了霍曼转轨的物理图像之后,张朝阳根据轨道的能量、角动量和近地点速度表示出了半通径和偏心率,进一步阐明了霍曼转轨的可行性。最后,张朝阳比较了转轨过程中四个速率的关系。
张朝阳讲解天舟7号和天宫空间站对接
椭圆轨道与开普勒三大运动定律
天舟七号货运飞船是中国天舟系列货运飞船的第七次飞行任务,于北京时间2024年1月17日22时27分在文昌航天发射场成功发射。天舟七号属于改进型全密封构型的货运飞船,被认为是目前世界上运载能力最强的货运飞船之一。此次天舟七号运载了大约5.6吨的物资和一些高科技设备。于2024年1月18日01时46分,经3小时的标准对接流程,天舟七号成功对接空间站天和核心舱后向端口。
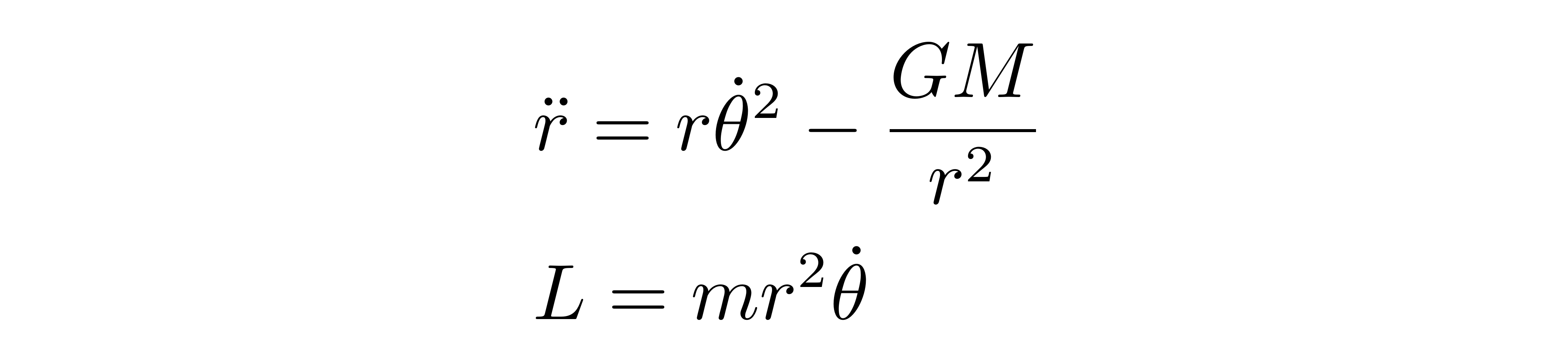
假定地球和人造卫星的总质量为M,人造卫星的质量为m。对于万有引力的两体问题,我们可以转化为有效单体模型。力和加速度都只有径向分量,所以其牛顿运动方程为
![]()
因为是有心力,所以角动量守恒。角动量矢量
![]()
在运动过程中保持常数,因此轨道被限制在平面上。要理解开普勒三定律,我们必须求解上面两式。将径向加速度方程和角动量方程写成
![]()
引入变量
![]()
则有
![]()
![]()
![]()
![]()
我们可以定义单位质量的角动量
![]()
将微分方程重写为
![]()
此方程的解为
![]()
这里的常数B是半通径(semi-latus rectum)的倒数,常数A/B是偏心率(eccentricity),在天体力学中的通常表示为
![]()
张朝阳推导椭圆轨道
这里我们用r0替代p
![]()
当
![]()
θ的取值为0到2π,这表述的是一个椭圆轨道。而当
![]()
取到π时,r的取值为无穷大,因此这是一个抛物线轨道。若
![]()
θ的取值不到π,r的取值就会变成无穷大,这描述了一条双曲线。
开普勒运动定律描述的是太阳系中行星绕太阳的运动规律,但可用到地球和人造卫星构成的两题问题,下面我们仍旧以行星绕太阳的说法描述开普勒三大运动定律,读者可自行换成地球和人造卫星。
1.开普勒第一运动定律:行星绕太阳的轨道为椭圆,太阳位于椭圆的一个焦点上
![]()
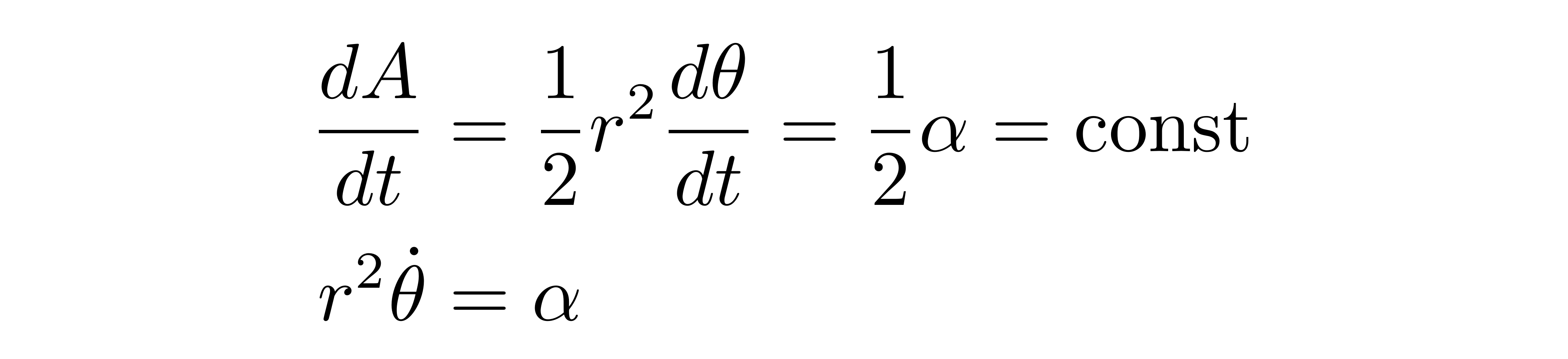
2.开普勒第二运动定律:行星沿其轨道在dt时间内扫过的面积为
![]()
行星在相等时间内扫过的面积相等意味着
![]()
这就是角动量守恒。
3.开普勒第三运动定律:行星绕太阳运动的周期平方与轨道椭圆半长轴的立方成正比
![]()
比例系数为
![]()
这里的半长轴可以用B和A表示出来。当
![]()
时,这是近地点(近星点,periapsis)
![]()
当
![]()
时,表示远地点(远星点,apoapsis)
![]()
而半长轴就是这两个距离之和的一半
![]()
这里我们用了天体力学的惯例写法,a表示半长轴。
张朝阳介绍开普勒三大运动定律
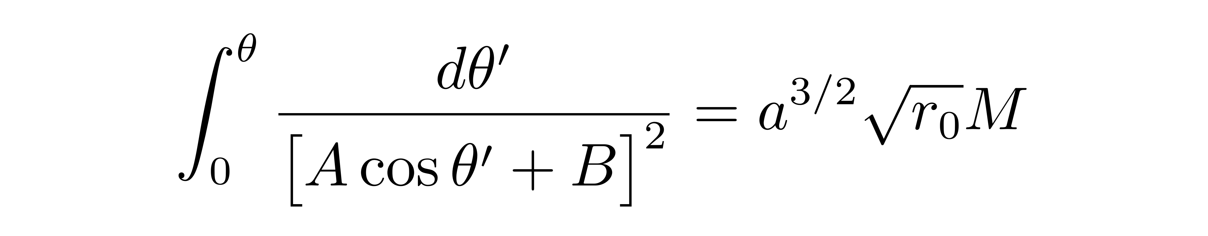
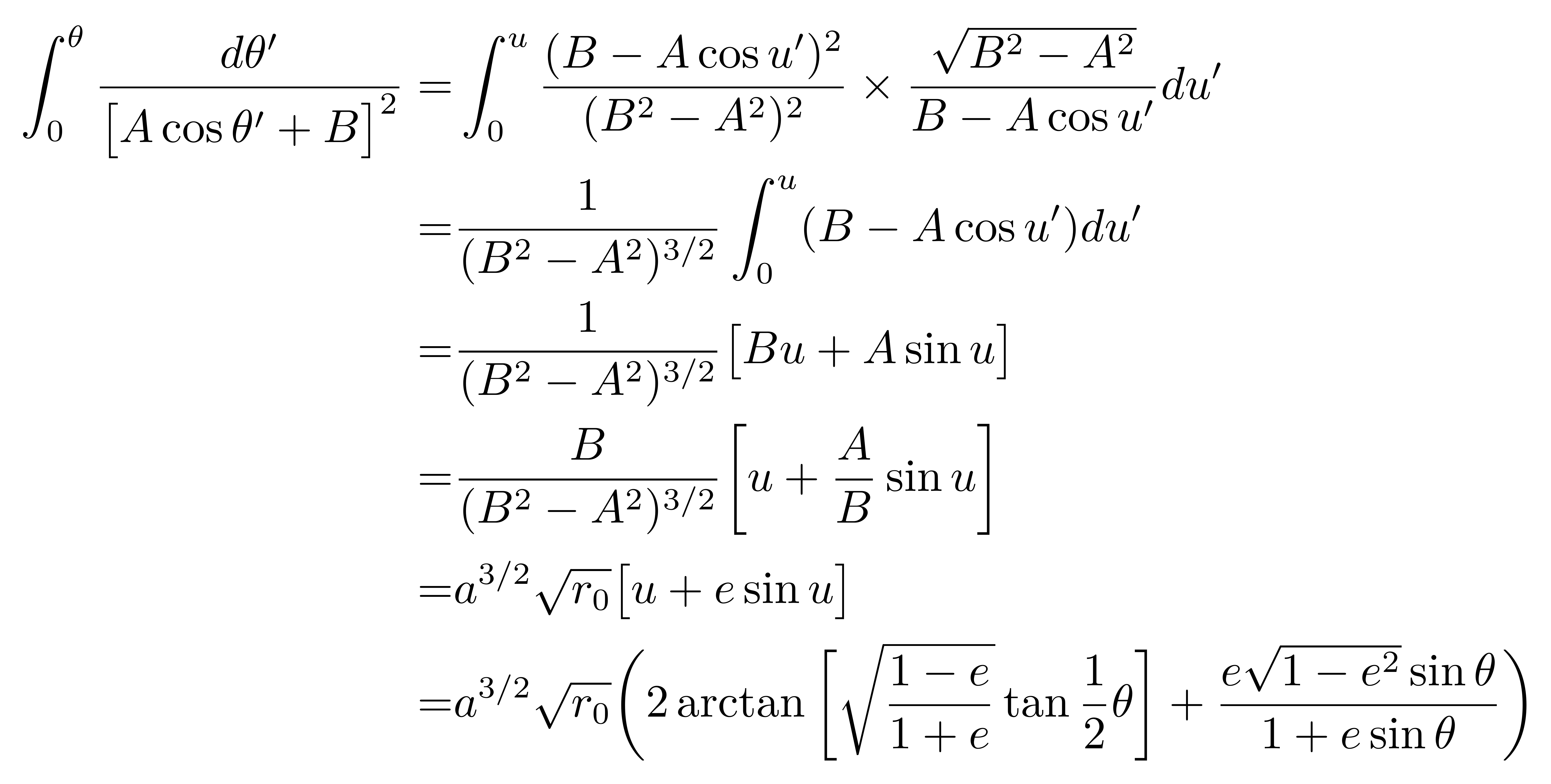
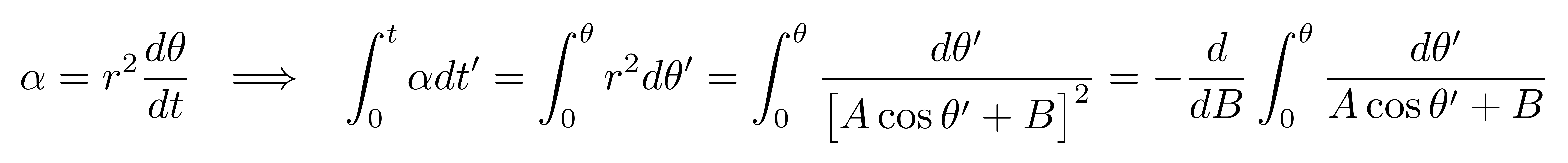
接下里我们根据轨道方程和角动量方程证明开普勒第三运动定律
![]()
左边为
![]()
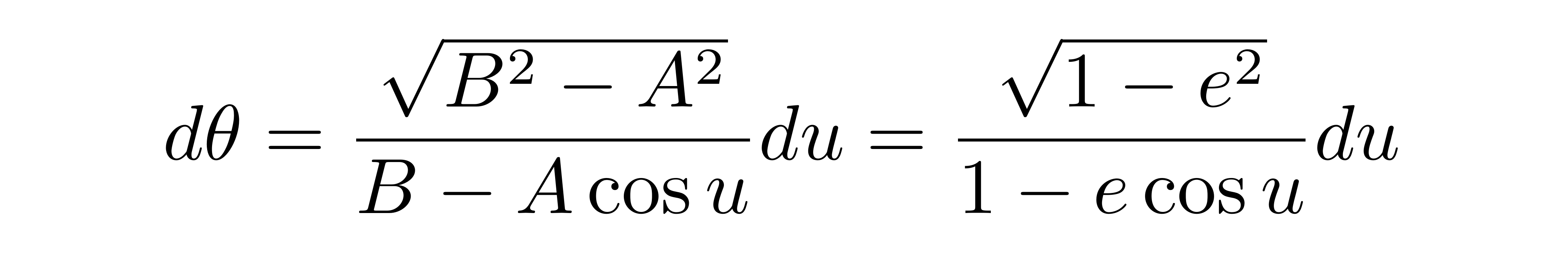
为算出右边的积分,我们做如下的坐标变换
![]()
或者写成半角公式
![]()
上述的角度u称为偏近点角(eccentric anomaly)。很有意思的是,若将半角公式写成
![]()
观察这个公式,与狭义相对论中静止参考系和运动参考系看到的角度变换公式完全一样
![]()
只需要将偏心率e和速度β对应。对上面的cosθ求微分,即可得到
![]()
借助于偏近点角u,计算如下两个积分
![]()
![]()
其中我们用到了半长轴a、半通径r0和A、B之间的关系。在天体力学中,描述上述积分结果的表达式,可用平近点角(mean anomaly)M的概念
![]()
其中n就是平运动(mean motion),代表角速度
![]()
第二个积分可表达为
![]()
综上所述,用近点角θ表示对角动量积分的结果为
![]()
平方后即有
![]()
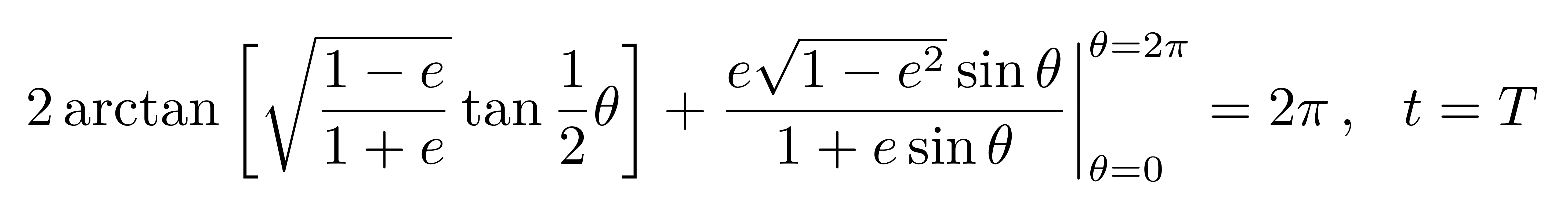
我们可以看到角位置θ与时间的关系很复杂,很难表示成θ(t)的关系。但若选取一个周期,则有
![]()
代入到上式中,我们得到了开普勒第三运动定律
![]()
张朝阳证明开普勒第三运动定律
霍曼转轨
张朝阳仔细地讲解了霍曼转轨的过程。霍曼转轨是一种用于将火箭从一个轨道转移到另一个轨道的常见方法,通常用于将火箭送入地球轨道上的空间站或卫星。飞船在地球低轨道做半径为R1的圆周运动,其速率为
![]()
但在某一个时刻突然加速,变成一个椭圆轨道,这点变成近地点,其速率变成
![]()
通过引力到达远地点后速率变慢,变成v3,此时焦点与远地点的距离为R3。接下去喷射燃料加速,速率变成v4,以半径R3做圆周运动
![]()
这就完成了转轨操作,飞船从低轨道转到了较高的轨道。此新轨道与需要对接的空间站处于同一轨道,且相位相同,因此能够顺利对接。这四个速度有关系
![]()
张朝阳介绍霍曼转轨
下面我们根据轨道方程和能量、角动量分析在转轨过程中的速度。首先确认近地点和远地点速度大小的表达式。根据角动量守恒,可得到任意位置的角向速度为
![]()
从角动量守恒亦可知椭圆轨道的近地点与远地点的速度之间的关系为
![]()
其中v2是近地点的速度大小,R1是近地点离焦点的距离;v3是远地点的速度大小,R3是远地点离焦点的距离。
据此可得任意位置的径向速度为
![]()
根据上述两个速度分量的表达式,我们知道在近地点rp,位于θ=0,和远地点ra,位于θ=π,的速度分量为
![]()
这意味着这两点的速度大小为
![]()
若是圆轨道,则有A=0,
![]()
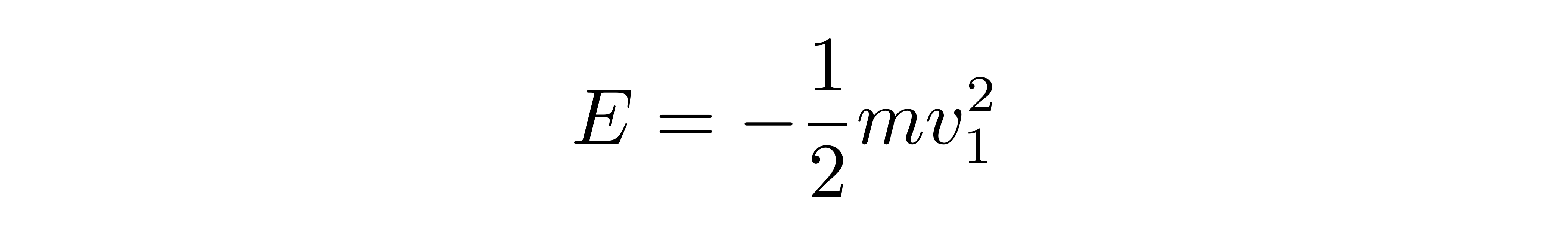
轨道能量的定义为
![]()
由于此式是守恒量,故可用近地点算出
![]()
实际上,根据前面半长轴a和A、B的关系
![]()
即可写出能量的表达式为
![]()
用上面得到的结果可较为简单地计算出霍曼转轨的各点速度大小、所需的速度变化量和所需的能量,我们将留给读者自行计算。
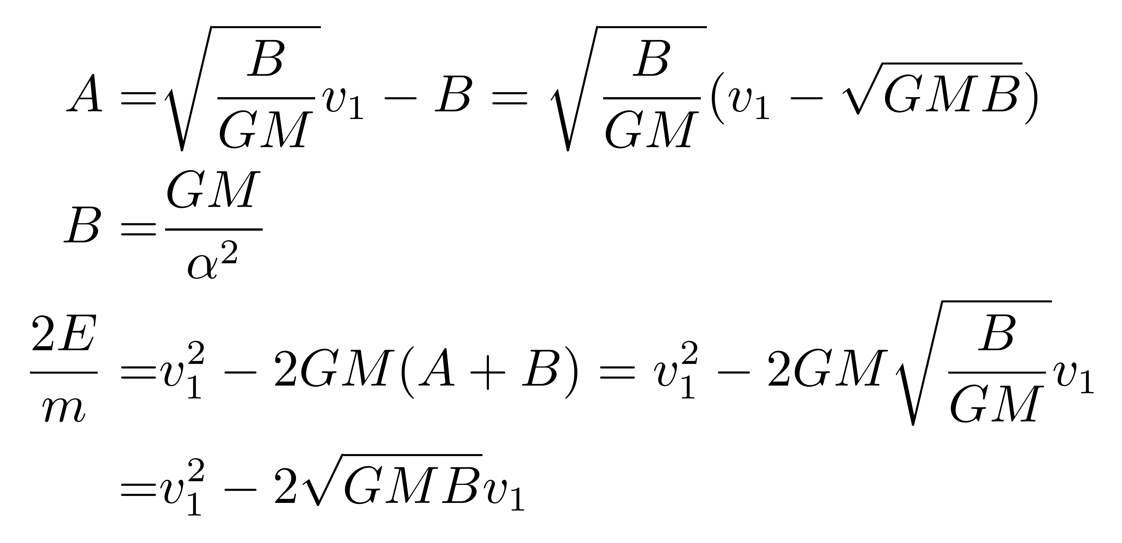
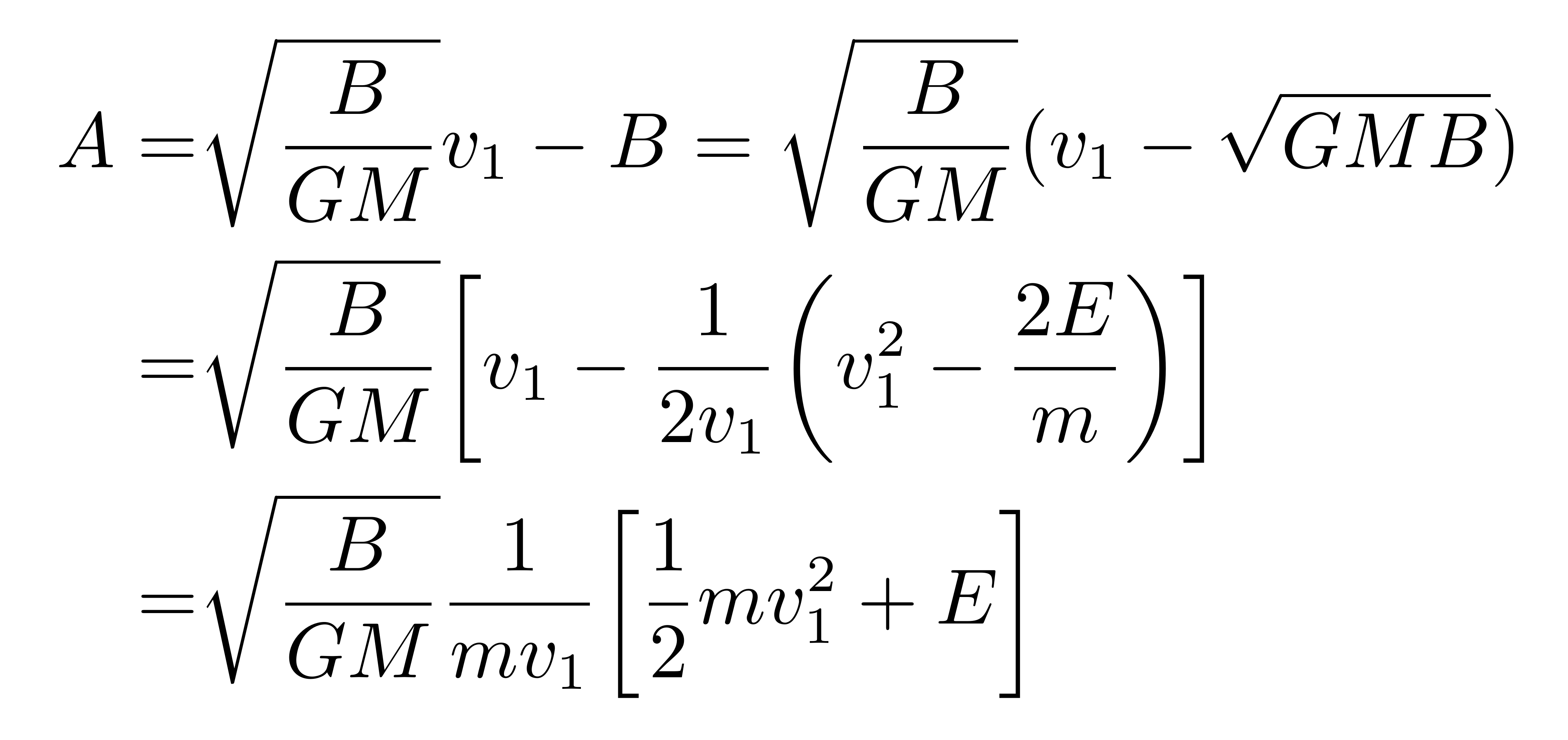
下面,我们将使用能量、角动量和近地点速度大小来表达A和B。记近地点的速度大小为v1
![]()
能量和角动量的形式为
![]()
这里的R1是近地点到焦点的距离。可将上述三个方程重新表述为
![]()
从最后一个方程计算得
![]()
将α的表达式代入,得到
![]()
因此A的表达式为
![]()
张朝阳根据能量、角动量、近地点速率计算半通径和偏心率
当飞船做圆周运动时,用维力定理可得
![]()
即有结果
![]()
这的确说明轨道的偏心率等于0. 当速度大小发生变化
![]()
代入A的表达式中,则会有
![]()
也就是说这一点作为近地点,随着θ增大,飞船将会开始远离地球。类似地,当
![]()
代入A的表达式中,则会有
![]()
也就是说这一点作为远地点,随着θ增大,飞船将会开始靠近地球。
综上所述,“霍曼转轨是可行的”,张朝阳说,“轨道先走一个小圆,速度大小为v1,加速到v2,走一个大的椭圆,到达远地点的速度大小是v3,根据角动量守恒,v3小于v2,而后再加速,速度大小变成v4,最终会以远地点到焦点的距离为半径做圆周运动。轨道成功从轨道1转移到了轨道2。这就是霍曼转移,从一个低轨道转移到高轨道的方法。”经过分析可以得到
![]()
![]()
![]()
也就是有
![]()
张朝阳分析霍曼转轨的过程和速度
据了解,《张朝阳的物理课》于每周周五、周日中午12时在搜狐视频直播,网友可以在搜狐视频APP“关注流”中搜索“张朝阳”,观看直播及往期完整视频回放;关注“张朝阳的物理课”账号,查看课程中的“知识点”短视频;此外,还可以在搜狐新闻APP的“搜狐科技”账号上,阅览每期物理课程的详细文章。
slot games onlineonline betting football oddsis it legal to bet online in usa
声明:该文观点仅代表作者本人,搜狐号系信息发布平台,搜狐仅提供信息存储空间服务。